아핫뉴스실시간 인기검색어
아핫뉴스 화산 이미지
화산 아이콘 11
서울버스 파업
아하

생활

생활꿀팁

공정한소21
공정한소21

이 문제 어떻게 푸나요??(순환소수)




중2 순환소수 문제 입니다!!

어떻게 푸는지 잘 모르겠어서 질문올립니다


1개의 답변이 있어요!
  • 내마음가는대로룰루랄라니나노
    내마음가는대로룰루랄라니나노

    안녕하세요. 호기로운천인조178입니다.


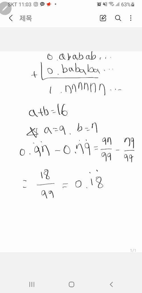
    1의자리가 생겼으니까 a+b가 10이 넘는다는거잖아요. 1올린다 생각하고 1.777..이 되게 하려면 a+b가 16이 되고 a>b인 홀수니까 a,b는 구해졌고..그래서 순환소수 뺠셈하려면 분수로 바꿔야하니까 바꿔서 뺀 후에 다시 순화소수로 바꾸니 0.181818...이렇게 나오네요. 아마 맞을꺼예요