학문
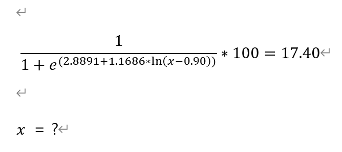
수식에서 x를 구하는 공식으로 바꿀수 있을까요?
수학을 손 놓은지 오래되서 잘 안되네요 ㅠㅠ
위 수식에서 x를 구하는 공식으로 바꿀수 있을까요?
잘 부탁드립니다. 감사합니다~~
55글자 더 채워주세요.
1개의 답변이 있어요!
안녕하세요. 김두환 과학전문가입니다.
네 가능합니다.
일단 좌변의 분모의 식을 오른쪽으로 이항하고 17.40으로 나누어주면,
100/17.40=1+exp(2.8891)*exp(1.1686*ln(x-0.9))
입니다.
또, 1을 좌변으로 이항하고 exp(2.8891)로 나누어 식을 정리하면,
(100/17.40-1)/exp(2.8891)=exp(1.1686*ln(x-0.9))
입니다.
log의 성질에 의해 nlog(a)=log(a^n) 이고 exp(ln(a))=a 임을 이용하여 정리하면,
(100/17.40-1)/exp(2.8891)=(x-0.9)^(1.1686)
입니다.
또한 ^(1.1686)을 근호로 사용하여 정리하면,
[(100/17.40-1)/exp(2.8891)]^(1/1.1686)+0.9=x
가 됩니다.
따라서 약 x=1.22 입니다.

