아핫뉴스실시간 인기검색어
아핫뉴스 화산 이미지
화산 아이콘 11
드라마 청년 김대건 방영
아하

학문

화학

호화로운왕나비213
호화로운왕나비213

변분법 쌩기초 질문입니다. 혼자 공부하기는 어렵네요..

변분법이란 범함수의 극값을 찾는 방법으로 알고 있습니다.

때문에 미분에서 미지수 x의 미세 변화를 표현하기 위해 dx를 사용하는 것처럼

변분에선 미지함수(?) f(x)의 미세 변화를 표현하기 위해

f(x)+ε⁕η(x)

이것을 사용하는 것으로 검색과 강의를 통해 알게 되었습니다.

여기서 질문이 생깁니다.

[η(x)는 변동을 주기 위한 임의의 함수라 이해가 가는데 ε는 왜 붙어있는 것]이고

변분이 이러할 때

[범함수 F(f(x))를 왜 ε에 대하여 미분하는 것]인지 이해가 가지 않습니다.

부탁드립니다.

읽어주셔서 감사합니다.

1개의 답변이 있어요!
  • 호탕한개미핥기272
    호탕한개미핥기272

    안녕하세요. 김두환 과학전문가입니다.

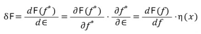
    ε⁕η(x)를 도입한 것은 일종의 미분을 위한 트릭이나 수학적인 엄밀성 때문일 것이라고 생각합니다. 단순히(편법으로) f(x)를 그대로 두고, δF를 써내려가도 같은 결과를 얻을 수 있죠.

    본론으로 돌아와 f(x)는 F(f(x))범함수의 극값을 갖게하는 함수입니다. 하지만 f(x)에 임의의 작은 변화 f(x)-> f(x)+ε⁕η(x) 를 가하면 더 이상 F( f(x)+ε⁕η(x) )는 극값을 갖지 않을 수 있습니다.

    여기서, ε⁕η(x)를 도입하였는데 ε의 크기에 따라 η(x)의 기여도가 달라지며 특히 ε=0일 때 f(x)가 됩니다.

    즉, F( f(x)+ε⁕η(x) )는 ε에 따라 변화하는 함수가 되고, F범함수의 극값은 ε=0일 때 임을 알 수 있습니다.

    이제 dx라는 적분 내에서 x와 상관없는 ε에 대한 변화를 편하게 고려할 수 있으며, 미분도 편하게 할 수 있습니다. δF( f(x)+ε⁕η(x) )를 계산하고 ε=0일 때 극값을 가짐을 이용하게되면 오일러-라그랑주 방정식을 얻을 수 있는 것이죠.

    정리하면, f(x)+ε⁕η(x)를 도입하여 F(f(x)+ε⁕η(x),f'(x)+ε⁕η'(x);ε)의 함수를 만들어 미분이 가능하게끔 설정하였습니다.(여기서 f'이나 η'은 d/dx 미분)

    ε⁕η(x)를 도입하지 않으면 F(f(x),f'(x);x)의 형태이며, dx에 대한 적분에서 미분을 고려할 때 수학적으로 까다로울듯 합니다. 사실 변분법을 통해 오일러-라그랑주 방정식을 유도하는 과정에서 ε⁕η(x)를 도입하지 않고 (편법으로) f(x)그대로 두고 x에 대한 변화를 생각하여 적어나가도 오일러-라그랑주 방정식을 얻게됩니다.