아핫뉴스실시간 인기검색어
아핫뉴스 화산 이미지
화산 아이콘 11
단체장, 통합특별법 제출
아하

학문

전기·전자

앙 엔지니어띠
앙 엔지니어띠

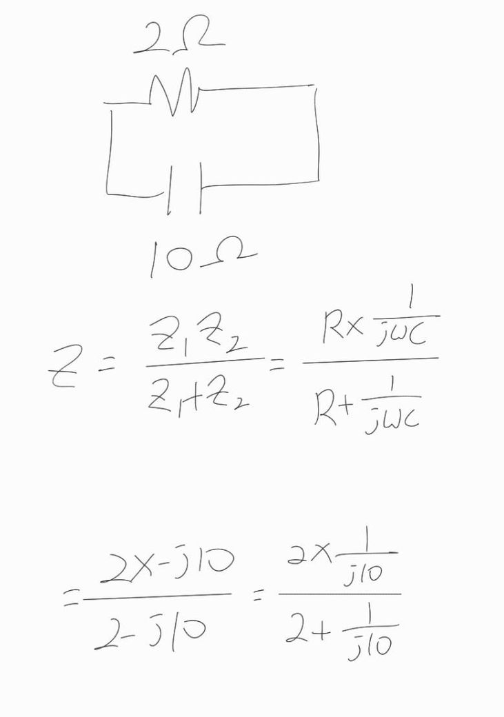
전기공학 회로이론에 대해 질문 드립니다.

1. RLC 직렬, RLC 병렬에서, RLC 직렬은 전류 I를 구할 때 직렬일 때는 전류 I가 일정하고, I=V/|Z|이고, |Z|=√R²+(jwL+(-j/wC))²인데 병렬은 전압 V가 일정하고, I=V/Z이고, Z=1/((1/R)+(-j/wL)+jwC)인데 왜 직렬은 Z를 구할 때 크기로 구하고 병렬은 크기로 구하지 않는지 궁금합니다.

2. RLC 병렬은 합성 저항을 어떻게 구하나요?

3. 사진에 있는 식을 유도해보니 답이 같지 않는데 어떻게 해야 답이 같아질까요?

2개의 답변이 있어요!
  • 탈퇴한 사용자
    탈퇴한 사용자

    안녕하세요. 조일현 전문가입니다.

    직렬 회로에서는 각 부품의 임피던스를 백터 합으로 구하고, 전류를 구할 때는 임피던스의 크기를 사용하여 계산합니다.

    병렬 회로에서는 임피던스의 역수 합을 구한 후, 역수로 전체 임피던스를 구하고 , 전류는 임피던스의 복소수 값을 그대로 사용하여 계산합니다. 병렬 회로에서 크기를 따로 구할 필요는 없습니다.

    RLC병렬 회로의 합성 저항은 직렬과 다르며,병렬 회로에서는 각 부품의 임피던스 의 역수 합을 구한 후 역수를 취합니다.

    RLC 회로의 임피던스 계산은 복소수 연산을 포함하며, 이를 통해 전류와 전압 관계를 파악할 수 있습니다.

    1명 평가
  • 안녕하세요. 강세훈 전문가입니다.

    RLC 직렬 회로에서 임피던스 Z는 각 부품의 임피던스를 벡터 합으로 구하고, 전류는 Z의 크기를 이용해 계산합니다. 직렬 회로에서는 각 요소가 같은 전류를 공유하므로 임피던스의 크기로 전류를 구합니다. 반면, 병렬 회로에서는 각 부품의 임피던스의 역수 합을 구한 후, 전체 임피던스를 구합니다. 이때, 전압은 일정하므로 임피던스의 크기를 별도로 구할 필요가 없습니다. RLC 병렬 회로의 합성 저항은 각 부품 임피던스의 역수 합을 구하고 역수로 전체 임피던스를 계산합니다.감사합니다.