아핫뉴스실시간 인기검색어
아핫뉴스 화산 이미지
아하

학문

전기·전자

기발한나방250
기발한나방250

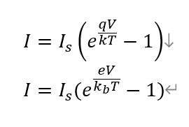
다이오드 온도 센서의 전류 방정식 질문

두 식 모두 다이오드 온도 센서의 전류 방정식이라고 하는데 왜 다른건가요? 전자전기 수업이 아니라서 간단하게 넘어갔는데 찾아봐도 모르겠어서 여쭤봅니다

55글자 더 채워주세요.
2개의 답변이 있어요!
  • 안녕하세요. 박준희 전문가입니다.

    두 식은 동일한 식입니다. 단지 상수계수인 q를 e로 K른 Kb라고 다르게 표현했을 뿐인거죠.

    감사합니다.

    1명 평가
  • 안녕하세요. 강세훈 전문가입니다.

    두 식은 동일한 방정식으로, 다만 상수계수인 q(전하량), e(전자기본전하), Kb(볼츠만 상수) 등의 표현 방식이 다르게 나타난 것입니다. 기본적인 개념은 동일합니다.감사합니다.

PC용 아하 앱 설치 권유 팝업 이미지장도연이 추천하는 아하! 앱으로 편리하게 사용해 보세요.
starbucks
앱 설치하고 미션 완료하면 커피 기프티콘을 드려요!