아핫뉴스실시간 인기검색어
아핫뉴스 화산 이미지
화산 아이콘 11
비트코인 대폭락 경고
아하

생활

생활꿀팁

금쪽같은게89
금쪽같은게89

적분 잘하는 사람 제발 풀어주세요

어떻게 정리하고 어떻게 해야 이 문제가 풀리는지 정말 모르겠어서 질문 올립니다.

풀이 설명 꼭 필요합니다 같이 첨부해서 보여주시면 정말 감사하겠습니다

화공 이동현상 공과대학 과학 과목에서 배우는 내용 중 하나입니다.

1개의 답변이 있어요!
  • 존재가불분명함
    존재가불분명함

    안녕하세요. 임세진 과학전문가입니다.

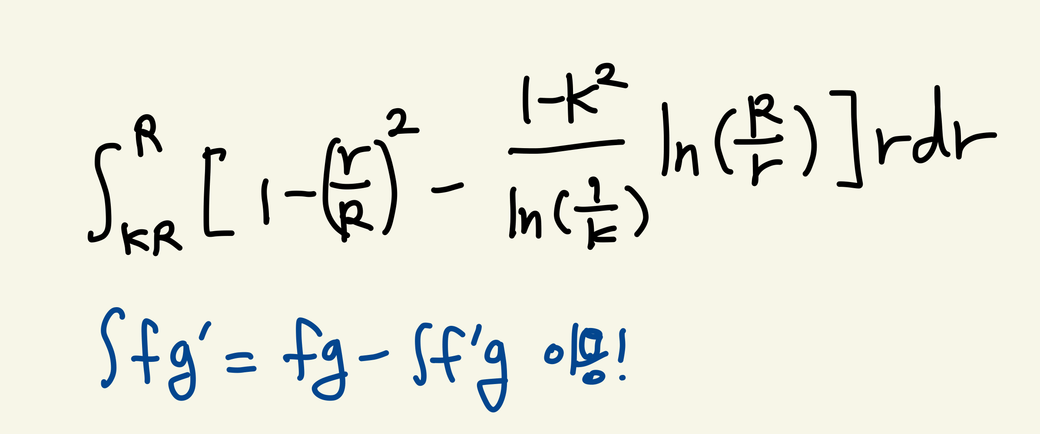
    풀이 과정은 아래 사진 첨부해드렸습니다.

    로그의 성질과 부분적분으로 풀었습니다.

    혹시 그렇지는 않겠지만...

    만약에 질문 주신 내용이 학교 과제이면, 제가 남의 과제를 풀어준 꼴이 되어 조금 난감하게 될 수도 있습니다.

    감사합니다.