학문
전자공학 문제인데 혹시 이걸 답을 구할수 있는문제인가요?
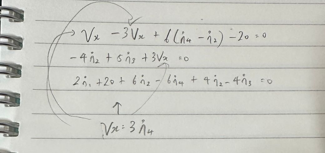
i1,i2,i3,i4를 구하는 문제인데 이 문제의 답을 구할수 있는건가요? 혹시 구할수 있다면 구해서 자세한 식을 사진으로 올려주실수 있나요? 부탁드립니다! 전문가님들 !!
1개의 답변이 있어요!
안녕하세요. 옥성민 전문가입니다.
40/2 + 5i3 + 9i4 = 0
-6i4 - 4i3 - 20 =0
Vx = 3i4 = 70/3 입니다.
1명 평가
i1,i2,i3,i4를 구하는 문제인데 이 문제의 답을 구할수 있는건가요? 혹시 구할수 있다면 구해서 자세한 식을 사진으로 올려주실수 있나요? 부탁드립니다! 전문가님들 !!
안녕하세요. 옥성민 전문가입니다.
40/2 + 5i3 + 9i4 = 0
-6i4 - 4i3 - 20 =0
Vx = 3i4 = 70/3 입니다.