기상현상을 설명하는 방정식에 대해 알려주세요

기온은 방정식을 이용해서 슈퍼컴으로 예측할 수 있다는데 어떤 방정식을 이용해서 예측할 수 있고 복잡한 방정식을 풀어야 하는지도 알려주세요.

1개의 답변이 있어요!

  • 안녕하세요. 박조훈 전문가입니다.

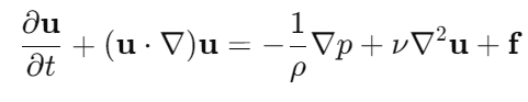
    기상현상을 설명하는데 사용되는 방정식은 대기역학과 열역학의 공식이 많이 나오게 됩니다! 운동량의 방정식으로서

    u는 속도벡터, t는 시간, ρ는 밀도, p는 압력 v는 점성계수 f는 중력과 같은 외력으로 표현됩니다. 또한 유체의 질량보존을 위해 연속 방정식을 사용하는데

    ρ는 밀도,u 는 속도벡터를 의미하죠

    대기의 열역학적 변화를 설명하기 위해

    를 사용하기도 합니다 T:온도, t:시간, u:속도벡터, Q:단위 질량당 열 공급량 Cp: 정압비열 이며

    대기중의 기체 상태를 설명하기 위해 상태방정식을 사용합니다.

    로서 보일샤를의 법칙을 그대로 적용한것이라고 생각하심 됩니다! p:압력, ρ는 밀도, R:기체상수, T:온도

    를 의미합니다.

    또한 대기중의 수분 변화를 설명하기 위해

    수분 연속방정식을 사용하며 q:특정습도, t:시간, u:속도벡터, Sq:수분 공급 미 제거항을 의미하죠!

    이러한 방정식들을 미국 NOAA에서 사용하는 전지구기상예보모델을 사용하거나 각 여러 모델들을 사용하여 일기예보를 하게 되는것입니다!