아핫뉴스실시간 인기검색어
아핫뉴스 화산 이미지
화산 아이콘 11
물랑루즈 앙상블 포즈
많이 본
아하

고민상담

대학교 생활

hvlhxho
hvlhxho

국가장학금 받을 수 있을까요…???

국장 학점 기준이

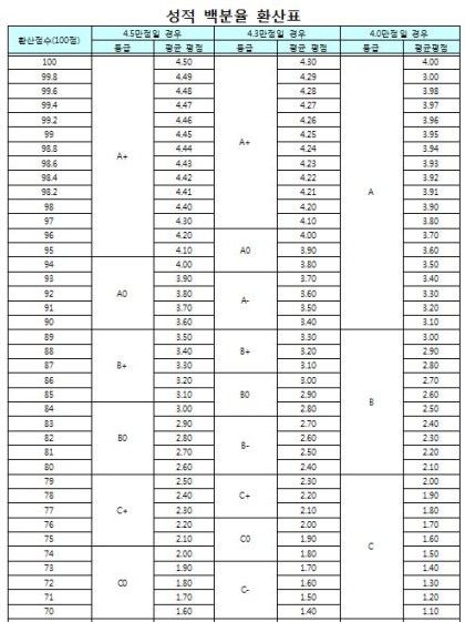
12학점 이수해 100점 만점에 80점 이상을 취득해야하던 데 17학점 이수했고 평균 학점이 2.94인데.. 국장 받을 수 있을까요..?(4.5점 만점입니다..) 제가 찾아봤을때는 저 학점이 80점은 넘는데 다 말이 달라서요ㅠㅠ

1개의 답변이 있어요!
  • 진지한석화구이
    진지한석화구이

    국가장학금의 학점 기준은 일반적으로 100점 만점에 80점 이상이지만, 구체적인 기준은 학기마다 달라질 수 있습니다. 2.94는 4.5점 만점 기준으로 약 65점 정도에 해당하므로, 80점 이상이 안될 수도 있습니다. 하지만 국가장학금은 학점 외에도 소득분위 등 여러 가지 조건이 있기 때문에, 정확한 자격을 확인하려면 해당 학기의 국가장학금 공지사항을 참고하거나 학생 지원센터에 문의하는 것이 좋습니다.