피검사,소변검사 결과지와 증상 좀 봐주세요
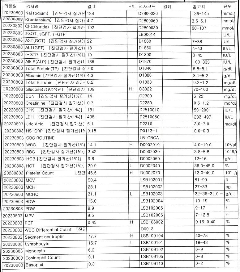
피검사와 소변검사 결과지입니다.
<현재상태>
1. 다리부종 (종아리 앞쪽 누르면 쏙 들어가요/발목부종은 하루빼고 없었어요)
2. 숨참, 가슴통증까진 아니고 숨찰때 느껴지는 정도의 불편함이 느껴져요~ 속쓰린것같은 느낌같기도 하구요
3. 과다부정출혈 (출산할때보다 더 많은 피를 2주일동안 쏟았어요 / 프로게스테론주사 맞은후 현재는 멈춘상태)
4. 빈혈 (수치 9.9)
5. 소변양 감소 (잔뇨감,야뇨증 없어요)
첫 1주일정도 - 어? 소변이 힘이없네?
그다음 1주일정도 - 소변양이 좀 줄은것 같네
그다음 1주일정도 - 확실히 소변양이 줄었어요 (양이 줄었다고 더 마렵거나 덜마렵거나 하지도 않아요. 횟수는 평소와동일)
어제부터는 소변이 다시 좀 나오는 편이긴 한데 다리부종은 남아있는 상태입니다
피검사하면서 쌤이 눌러보시긴 했는데 제가보기엔 종아리앞에 누르면 눈에 딱 보일정도로 들어가는데
의사쌤이 하시는 말씀으로는
"의사로써 봤을땐 부종도 그리 심한건 아닙니다"
라고 말씀하셨어요
하지만 여러군데를 눌러보면 종아리 앞부분이 쏙쏙쏙 들어가있는게 보여요
무슨 검사를 받아봐야 할까요?
내과에서는 문제가 없다는데...철분제만 복용중입니다
안녕하세요. 신성현 의사입니다.
질문자분의 상태로 보아 빈혈로 인한 부종의 가능성이 가장 높아 보입니다.
혈액검사상 실제로 빈혈이 9.9 로 있으면서 빈혈의 유발요인도 다소 명확해 보입니다. (부정출혈로 인한 출혈)
체내에 빈혈로 인해서 피가 부족하다고 판단하면 심장은 더 과하게 일을 하려고 하고 부하가 걸려 이것이 체액저류로 이어지면 전신부종이 발생할 수 있습니다.
빈혈치료를 하면서 경과를 보시면 점차 좋아지실것으로 사료되며, 심장부전의 증거는 없는지 심장초음파 정도를 추가로 검사해보시는것이 도움이 될 수 있겠습니다.
안녕하세요. 이욱현 의사입니다. 부종이 있는데 딱히 원인이 없는 경우가 있습니다. 보여 주신 결과로는 부종의 원인이 될만한 소견이 없는 것으로 보입니다. 날씨가 최근에 덥기 때문에 피부로 소실되는 수분량이 많으면 소변이 줄 수 있습니다. 수분 섭취량과도 관련이 있을 수 있습니다. 굳이 추가 검사를 원하시면 심장관련 검사를 받아 볼 수 있으나 호흡곤란이나 증상이 없으면 이상이 없을 가능성이 많습니다. 피를 많이 쏟으면서 빈혈이 심해지면 부종이 일시적으로 심해질 수 있고, 출혈 때문에 맞은 주사 때문에 부종이 심해졌을 수도 있습니다.
관련 전공이 아니라 조심스럽지만
혈액 검사 결과와 증상을 비교해 봤을 때는
뚜렷하게 떠 오르는 것은 없는 듯 합니다만...
-> 소변량 감소 / 부종 / 그리고 폐에 물이 찼다?고 이야기하면
-> 말이 되기는 하는데... 전해질/신장수치/알부민 수치등이 정상이라.. 흠
다른 분들의 의견이 궁금하네요
안녕하세요. 채홍석 의사입니다. 지금 모든 불편한 점은 차후의 문제이구요
백혈구(WBC) 수치가 14.1(14100)인 것이 문제입니다.
감염이 있으니 병원에 가셔서 자세한 검사를 받아보세요. 이건 원인을 꼭 밝혀야 됩니다.
안녕하세요. 서민석 의사입니다.
결론적으로 말씀드리면 빈혈 교정을 일단 해보시면 부종이나 호흡곤란 모두 좋아질 것 같습니다. 철분제 1달 드시면 좋아질 겁니다.

