아핫뉴스실시간 인기검색어
아핫뉴스 화산 이미지
화산 아이콘 11
비트코인 ETF 순유입 전환
아하

생활

생활꿀팁

위용있는벌새231
위용있는벌새231

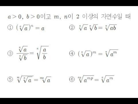
거듭제곱근의 성질 관련 질문 드립니다



거듭제곱근의 성질에서 1번이 이해가 되지 않아서 질문 드립니다... n제곱근 a의 n제곱이 왜 사라지고 값이 a만 남게 되는 건가요? ㅠㅠ



2개의 답변이 있어요!
  • 도롱이
    도롱이

    안녕하세요. 도로밍입니다.

    n루트a가 n번 제곱하면 a가 된다는 뜻인데, n제곱이 붙었으니까요. 즉, n번을 제곱해 주니까 이 수는 본래 수인 a가 됩니다.

  • 안녕하세요. 화려한홍관조89입니다.

    거듭제곱근의 정의와 같다고 볼 수 있는 성질입니다.

    n번 곱해서 a가 되는 수를 a의 n제곱근 이라고 하는 것이므로 당연하다고 할 수 있습니다.

    x를 n번 곱해서 a가 된다고 했을 때,

    x를 n번 곱하면 a가 되는 것입니다.