위대한거북이239
- 생활꿀팁생활선풍기와 서큘레이터의 차이점?A. 선풍기는 보통 면적이 넓고, 가까운 범위 안에만 바람을 보냅니다.하지만 써큘레이터는 접은 원통에서 강한 바람을 모아 내보냅니다.따라서 풍력이 훨씬 강하고 바람의 범위가 깁니다.에어써큘레이터가 좀더 선풍기에 비해 비싸며, 바람세기를 강하게 할 경우 소음이 많이 발생합니다.
- 생활꿀팁생활계란 삶고 나서 보관 방법이 궁금합니다A. 삶은 계란의 경우 상온에 보관할 경우 3일 정도면 변질이 시작됩니다.즉 아무리 길어도 3일이내에는 드셔야 합니다.보통 삶는 이유는 즉시 먹기 위함일텐데, 그래도 남아서 보관하셔야 한다면, 냉장 보관으로 하시는 것이 좋습니다.그리고 껍질을 까지 않는 것이 유통기한을 조금이라도 늘리는 데 도움이 됩니다.
- 생활꿀팁생활시간의 단위 ms 의 시간의 단위를 알고 싶습니다.A. 1000ms가 1초 입니다.따라서 1시간은 60분이고 60분은 3600초 이므로 3600 x 1000 ms = 3600000가 됩니다.간단히 정리하면 초에 1000만 곱하면 됩니다.
- 생활꿀팁생활토익 공부하면 영어 실력이 늘까요 ?A. 각 시험마다 목표로 하는 영어 문법등이 다르기 때문에, 공무원 영어로 바로 시작하는 것이 좋습니다.토익의 경우는 주로 회사원의 입장에서 쓰는 독해 지문이 많습니다.하지만 공무원 영어가 어렵기 때문에, 조금 난이도가 쉬운 토익으로 기본 문법/독해를 잡고 가시는 것도 좋습니다.
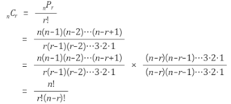
- 생활꿀팁생활경우의 수 계산법 공식 궁금합니다A. 순서에 상관 없는 경우라면 combination을 쓰시면 됩니다nCr 로 보통 표시하며 공식은 아래와 같습니다.n개 중 순서 상관없이 r개를 뽑는 것은n개 중 순서 상관없이 (n-r)개를 뽑는 것과 같기 때문에nCr = nC(n-r)이기도 합니다.
- 생활꿀팁생활수능 국어 비문학 성적 올리는 법 궁금해요A. 책을 많이 읽는 것도 중요하지만, 어떻게 읽어야 하는지가 궁금합니다.국어의 기술/언어의 기술 이라는 비문학 도서가 "어떻게" 지문을 읽는지에 대한 스킬을 알려줘서많은 도움이 되었습니다.
- 생활꿀팁생활수박 껍질의 경우 음식물에 버리는게 맞을까요? A. 음식물 쓰레기에 대해 구분이 힘들 때는 동물의 사료로 쓸 수 있냐로 판단하시면 됩니다.예를 들어 계란 껍질은 동물이 먹을 수 없습니다. 따라서 일반쓰레기로 따로 모아서 버려야됩니다.수박 껍질은 음식물 쓰레기 입니다.과일류가 많이 헷갈리는데 파인애플 껍질은 일반쓰레기지만, 바나나 껍질은 또 음식물 쓰레기로 됩니다.
- 생활꿀팁생활후라이팬은 얼마 주기로 교체해줘야 하나요?A. 보통 교체 주기는 2 - 3 년에 한 번 입니다.코팅이 버셕지면 중금속 성분이 음식에 들어갈 수 있으므로, 코팅이 벗겨진다면 즉시 교체해야 됩니다.그리고 후라이팬을 사용한 후에 바로 물에 담그면 온도차이 때문에 코팅이 벗겨지기 쉽습니다.먼저 좀 식힌다음에 기름종이로 한번 닦은 후, 물을 부어서 불려주시면 좀 더 오래 쓰실 수 있습니다.
- 생활꿀팁생활삶은 계란과 날계란의 구별법이 어떻게 되나요?A. 계란을 돌려보면 삶은 계란인지 날계란인지 알 수 있습니다.계란을 돌려서 안정감이 느껴지면 삶은 계란이고,날계란은 많이 흔들리는 것을 볼 수 있습니다.또 계란을 흔들어보면 날계란은 이리저리 액체가 흔드는 느낌이 있지만,삶은 계란은 돌처럼 단단한 느낌이 있습니다.
- 생활꿀팁생활철분 높이기 위해선 뭘 먹는게 좋을까요???A. 철분에 좋은 음식은 콩류, 감자, 참깨, 브로콜리, 시금치 등이 있습니다.거기에 견과류 또한 훌륭한 단백질 공급원 입니다.원하시는 취향에 맞춰서 꾸준히 섭취하시는 것이 좋습니다.개인적으로 감자를 구워서 플레인 요거트나 브로콜리와 함께 먹는 것을 추천합니다.